【#高考# 导语】®文档大全网高考频道从安阳市教育局了解到,近三年河南高考招生录取分数线及分数段统计表已公布,具体如下:

2023全国高考已结束,接下来就是最重要的志愿填报环节
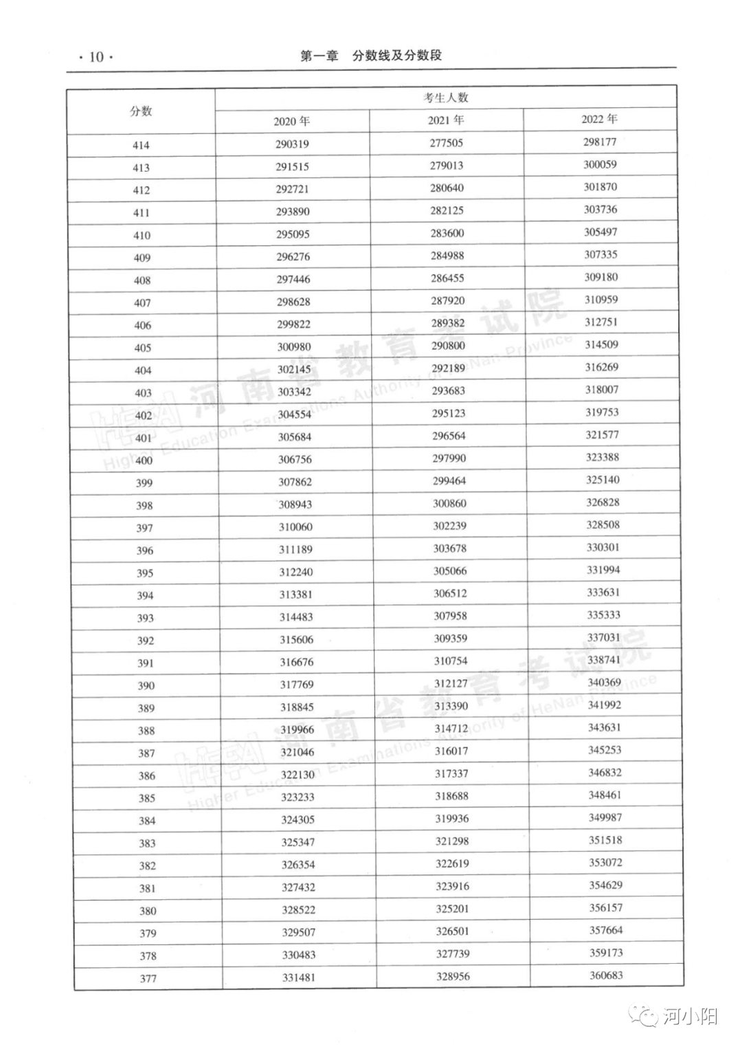
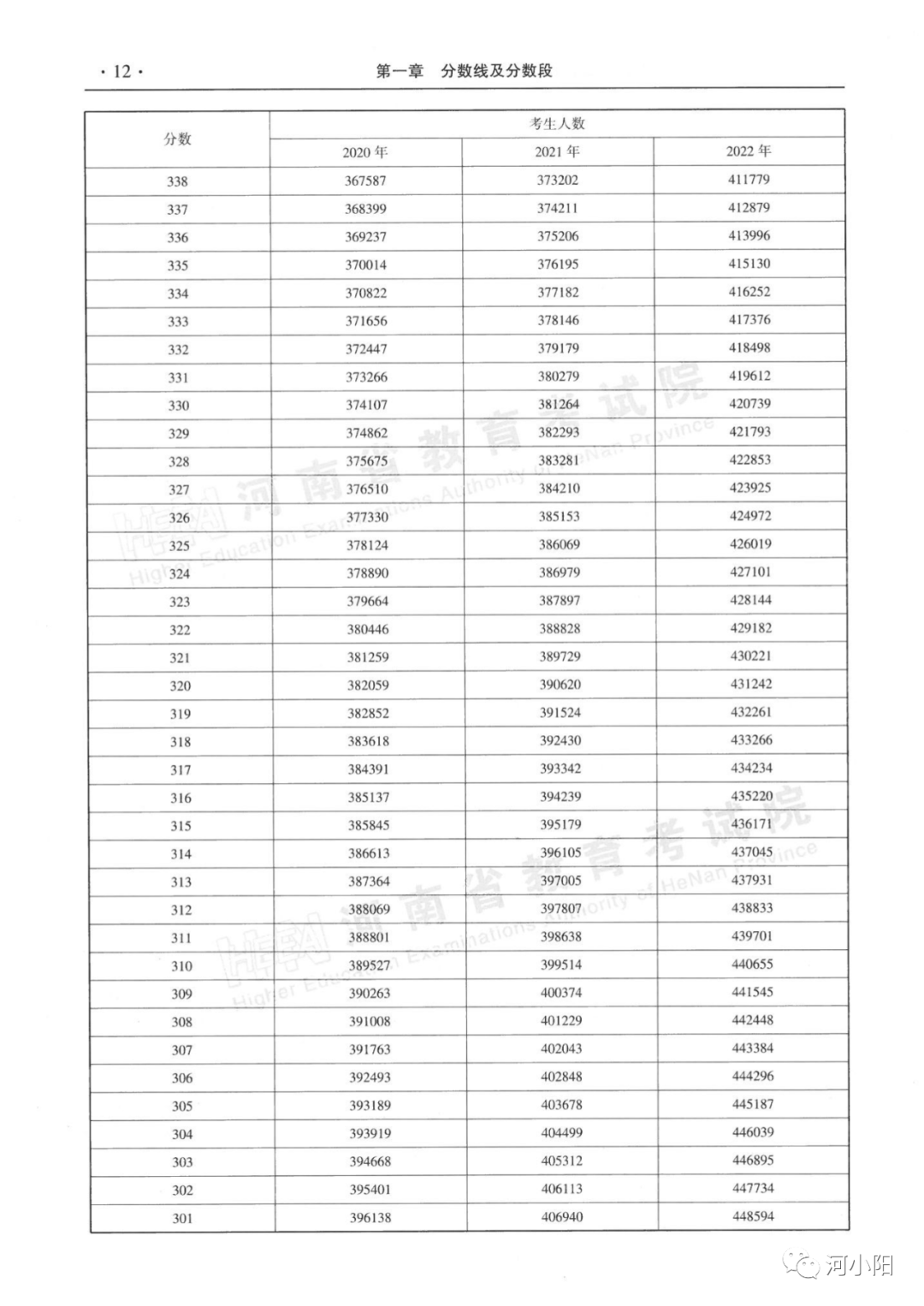
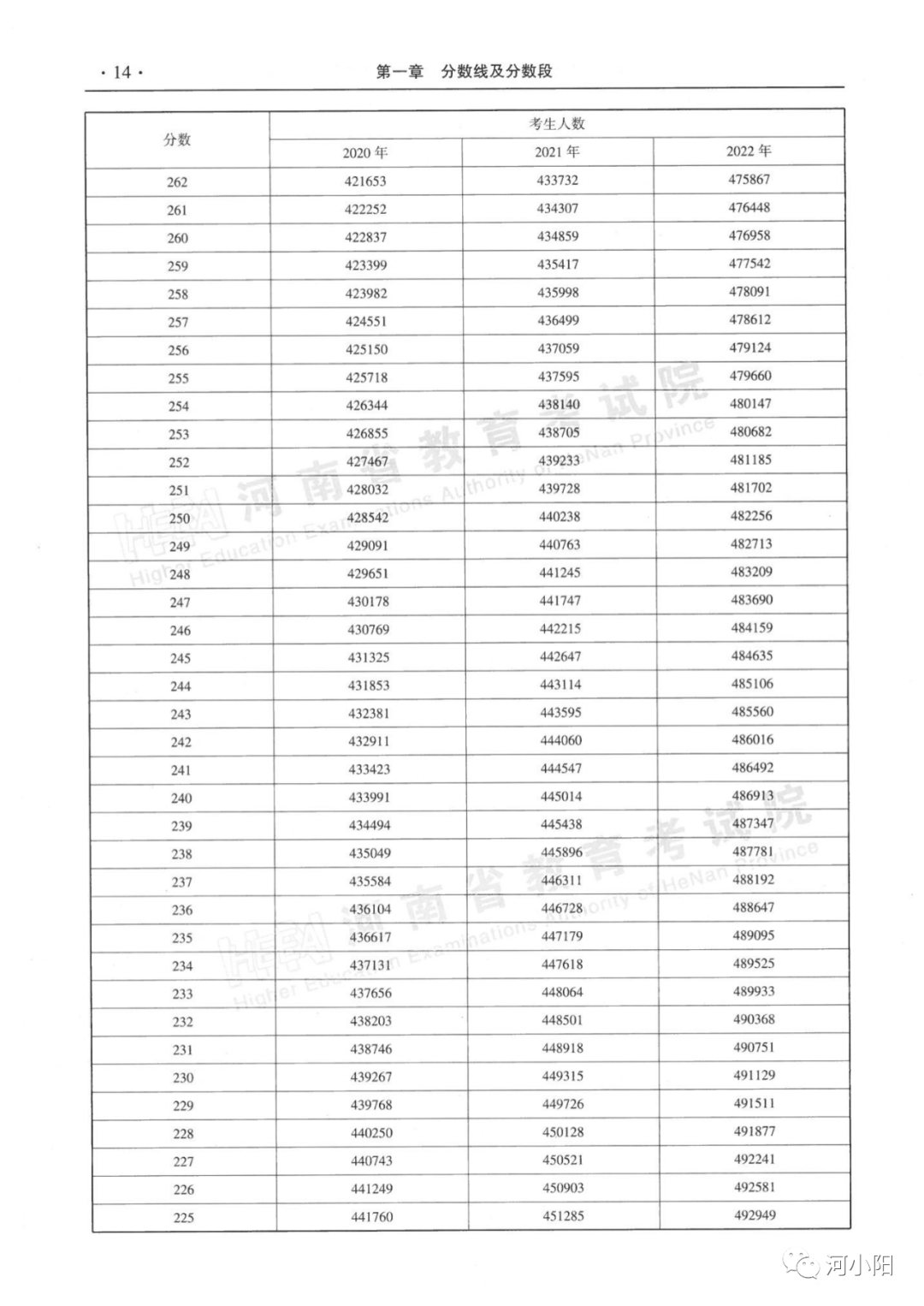
小编为大家整理了河南近三年普通高招录取分数线及分数段统计表(含理、文科),一起来看
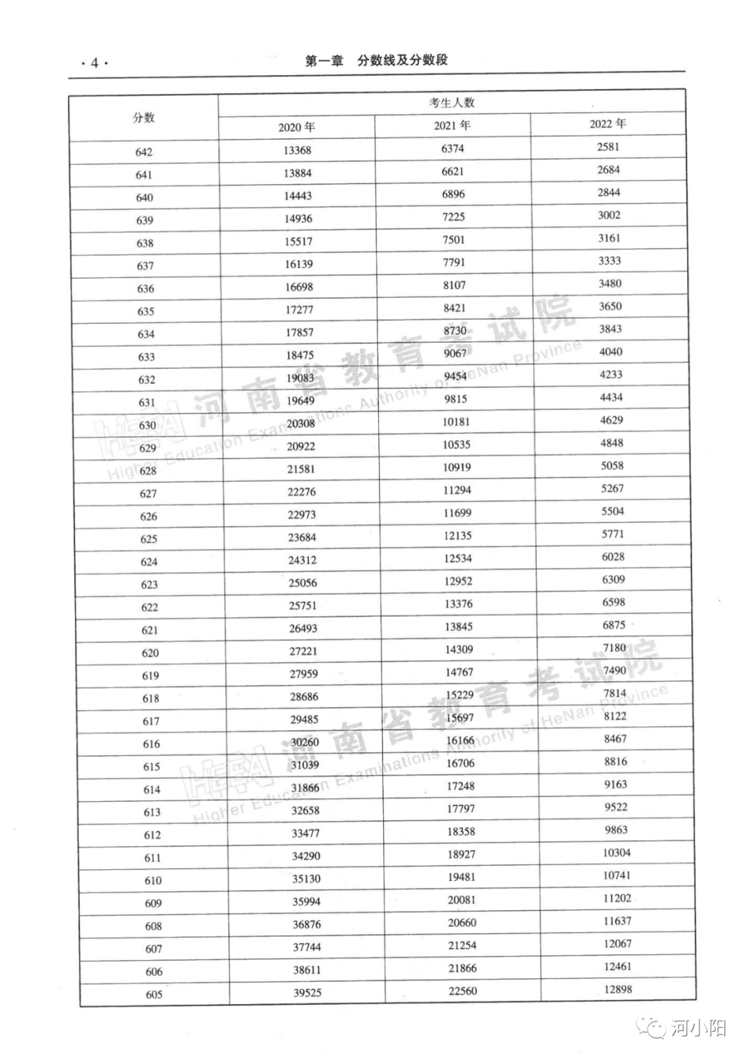
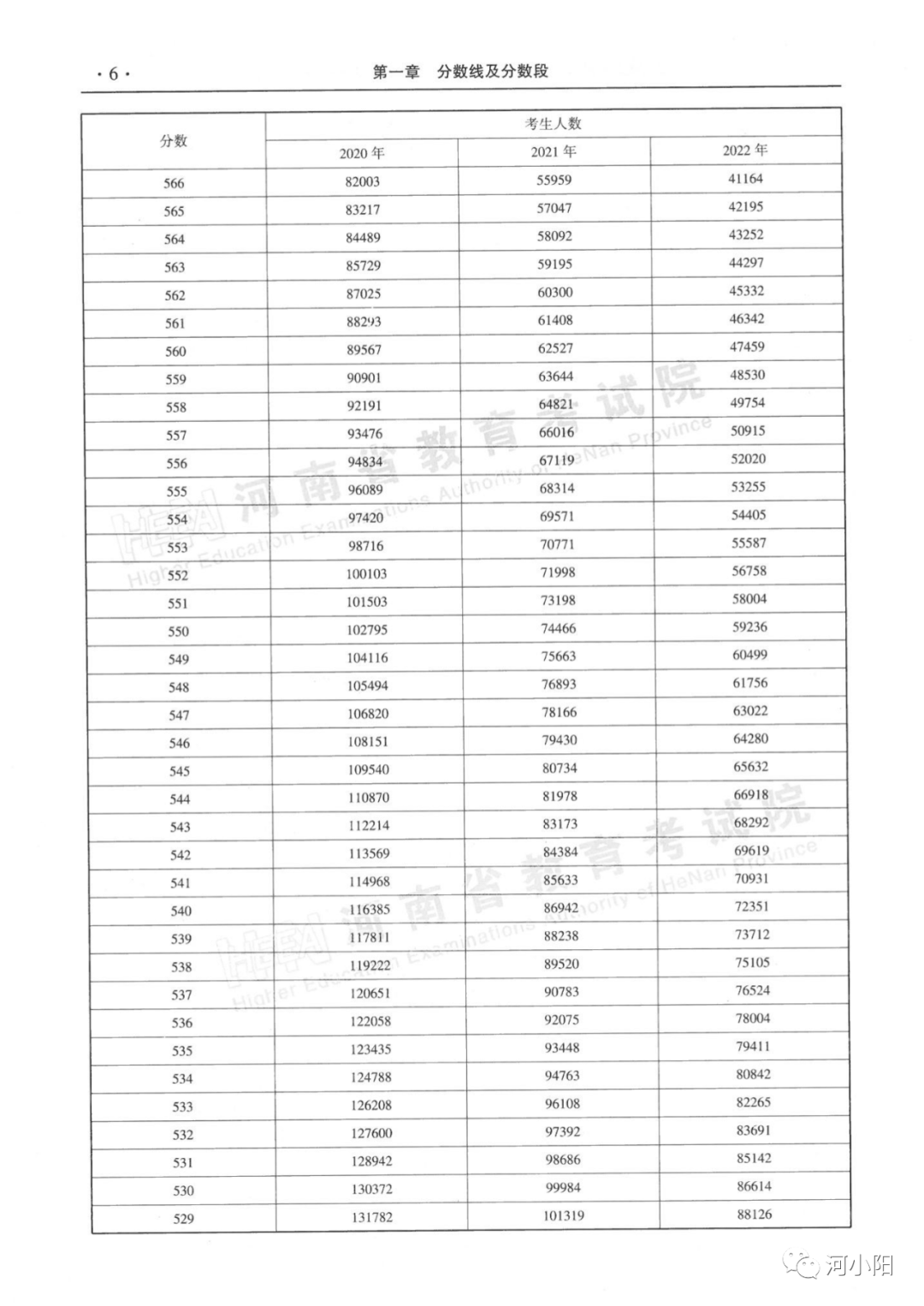
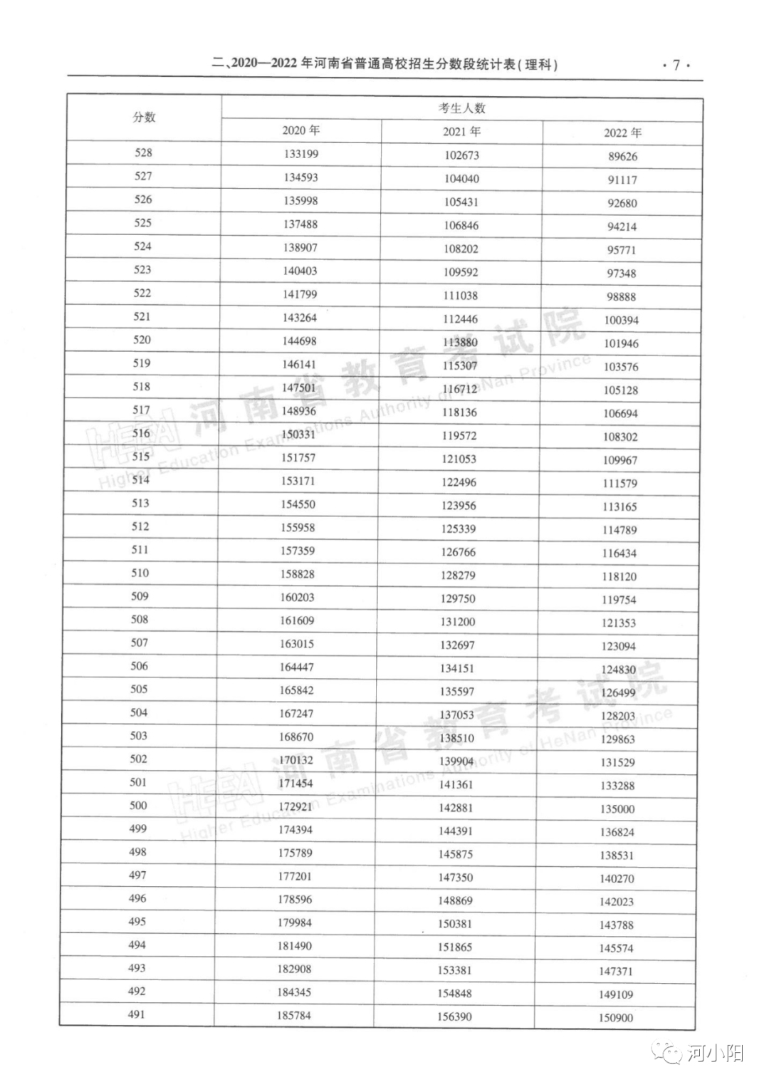
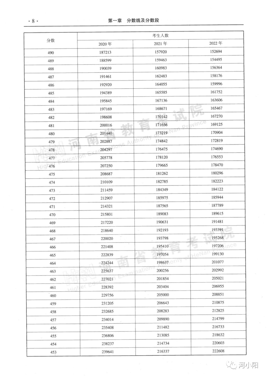
2020--2022河南高招录取分数线及分数段

























考生请认准!2023年河南省具有普通高等学历教育招生资格学校名单
为深入实施高校招生“阳光工程”,加大信息公开力度,发挥社会监督作用,增强政府信息服务功能,维护普通高等学历教育的办学秩序,现公布2023年河南省具有普通本专科招生资格和五年一贯制高职、“3+2”分段制高职招生资格名单。除本次公布的学校外,省内其他任何机构2023年均不具备普通本专科招生资格和五年一贯制、“3+2”分段制高职招生资格,其所招收学生无法在教育部注册学籍、学历,无法发放国家承认的普通高等教育学历证书。请今年参加招生录取的考生,在报考志愿前注意查询本名单和教育部、省教育厅、省教育考试院等部门网站信息,切勿相信名单外机构的虚假宣传。
本名单分为两个部分,第一部分是河南省举办的属于国民学历教育序列且安排2023年招生计划的高校,包括本科层次院校和专科层次院校,不含在河南招生的省外高校、军队院校以及驻豫中央部门所属高校。第二部分是经批准2023年具有招收应届初中毕业生开展五年一贯制和“3+2”分段制高职资格的学校,包括具有五年一贯制招生资格的普通高校、具有联合开展“3+2”分段制高职招生的中高职学校。
2023年河南省具有普通高等学历教育招生资格学校名单
正在阅读:
乡镇农业干事年终工作总结07-30
甘肃庆阳市2022年市直学校引进高层次急需紧缺人才相关工作时间公告05-13
2019年5月江苏商务英语报名入口【BEC报名时间:1月15日-3月20日】09-26
2017年江苏淮安中考英语试题及答案12-02
2022年广东执业医师医学综合二试报名时间、条件及入口【10月8日-14日】09-30
2017年陕西高中学业水平考试结束275260人参加考试11-16
大学生毕业实习报告模板3000字01-06
2021年河北法考主观题考试时间、科目及内容【12月19日】10-31
2020年江苏临床助理医师成绩查询、成绩单打印时间及入口【附合格分数线】10-15
2021下半年福建英语四六级报名时间,2021下半年福建英语四六级报名时间入口:http://cet-bm.neea.edu.cn08-26